公共卫生学院(深圳)杨燕教授团队在柳叶刀子刊发表辅酶Q10调控血糖的循证研究
心血管疾病(cardiovascular diseases, CVD)是世界范围内导致死亡和残疾的主要原因,并且死亡人数逐年增加。CVD是一种多因素导致的疾病,越来越多的研究表明,糖代谢紊乱是主要的心脏代谢危险因素之一。此外,糖代谢紊乱的患者患血糖相关疾病和代谢性疾病的风险更高,如糖尿病、肥胖、高脂血症等。因此,从早期预防的角度考虑,早期血糖控制,有助于降低CVD和代谢性疾病的发病风险。
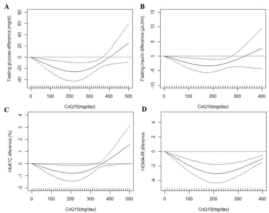
膳食干预在CVD的早期防治中发挥着重要作用。杨燕教授团队开展了一项探究膳食补充辅酶Q10与血糖相关指标的关系的系统综述和meta分析,并进一步探讨了辅酶Q10与血糖相关指标的剂量-反应关系。该研究检索了PubMed、EMBASE和Cochrane Library三个文献库,最终纳入40项随机对照试验,共2424人。结果显示辅酶Q10显著降低了空腹血糖(-5.22[95%CI:-8.33, -2.11]mg/dl)、空腹胰岛素(-1.32[-2.06, -0.58]μIU/ml)、HbA1c(-0.12 [-0.23, -0.01] %)和HOMA-IR(-0.69[1.00, -0.38])。亚组分析发现,糖尿病患者获益更大。进一步分析剂量-反应关系发现,辅酶Q10摄入量与空腹血糖、空腹胰岛素、HbA1c 和HOMA-IR 均呈“U”形曲线关系(图1),每天补充100~200 mg辅酶Q10时,可最大幅度降低上述指标。该研究结果有助于为制定血糖代谢异常患者每日补充辅酶Q10推荐摄入量的营养指南提供科学依据。
![]()
图1 辅酶Q10与空腹血糖(A)、空腹胰岛素(B)、HbA1c (C)和HOMA-IR(D)的剂量-反应关系曲线
2022年8月3日,该研究以“Effects of Coenzyme Q10 Supplementation on Glycemic Control: A GRADE-assessed Systematic Review and Dose-response Meta-analysis of Randomized Controlled Trials”为题,在国际医学期刊《eClinicalMedicine》在线发表。该研究由中山大学公共卫生学院(深圳)杨燕教授与田泽众博士为共同通讯作者,硕士研究生梁莹为第一作者,中山大学作为第一单位。
该研究得到了国家自然科学基金重点项目 (项目编号:82030098、81872617)、国家自然科学基金面上项目(项目编号:81730090)、深圳市知识创新计划基础研究项目(项目编号:JCYJ20180307153228190)、中国营养学会DRIs研究基金和国家级大学生创新创业训练计划项目(项目编号:202210558161)的支持。
论文链接:https://pubmed.ncbi.nlm.nih.gov/35958521/
撰稿:杨燕课题组
初审:王霄爽
审核:杜向军 钱 军
审核发布:汪宗芳
